
United Maritime: Αύξηση 210% στον κύκλο εργασιών στο εννεάμηνο – Διανέμει μέρισμα $0,075 (πίνακας)
Η United Maritime Corporation («United» ή η «Εταιρεία»), ανακοίνωσε σήμερα τα οικονομικά της αποτελέσματα για το τρίτο τρίμηνο και εννεάμηνο του 2023. Η Εταιρεία ανακοίνωσε επίσης τη διανομή τριμηνιαίου μερίσματος ύψους 0,075 δολαρίων ανά μετοχή για το τρίτο τρίμηνο του 2023.
Κατά το τρίτο τρίμηνο του 2023, ο καθαρός κύκλος εργασιών της Εταιρείας ανήλθε σε 11,7 εκατ. δολάρια έναντι 7,9 εκατ. δολαρίων το τρίτο τρίμηνο του 2022. Το προσαρμοσμένο EBITDA για το τρίτο τρίμηνο ανήλθε σε 13,8 εκατ. δολάρια έναντι 2,9 εκατ. δολαρίων για την ίδια περίοδο του 2022. Τα καθαρά κέρδη και τα προσαρμοσμένα καθαρά κέρδη για το τρίμηνο ανήλθαν σε 8,9 εκατ. δολάρια και 9,2 εκατ. δολάρια, αντίστοιχα, σε σύγκριση με τα καθαρά και τα προσαρμοσμένα καθαρά κέρδη ύψους 1 εκατ. δολαρίων για το τρίτο τρίμηνο του 2022. To ημερήσιο ισοδύναμο χρονοναύλωσης («TCE») του στόλου για το τρίτο τρίμηνο του 2023 ήταν 16.186 δολάρια, σε σύγκριση με τα 23.639 δολάρια την ίδια περίοδο του 2022.
Για το εννεάμηνο του 2023, η Εταιρεία πραγματοποίησε καθαρά έσοδα ύψους 24,5 εκατ. δολαρίων και κατέγραψε προσαρμοσμένο EBITDA ύψους 14,4 εκατ. δολαρίων. Τα καθαρά έσοδα και τα προσαρμοσμένα καθαρά έσοδα για το εννεάμηνο του 2023 ήταν 0,9 εκατ. δολάρια και 3,4 εκατ. δολάρια, αντίστοιχα. Το TCE του στόλου για το εννεάμηνο του 2023 ήταν 15.141 δολάρια ανά ημέρα.
Τα ταμειακά διαθέσιμα, στις 30 Σεπτεμβρίου του 2023, ανέρχονταν σε 14,3 εκατ. δολάρια. Τα ίδια κεφάλαια στο τέλος του τρίτου τριμήνου ήταν 67,4 εκατ. δολάρια, ενώ οι χρηματοοικονομικές υποχρεώσεις ανέρχονταν σε 94,3 εκατ. δολάρια στις 30 Σεπτεμβρίου του 2023. Η αξία του στόλου στις 30 Σεπτεμβρίου του 2023 ανήλθε στα 155,5 εκατ. δολάρια.
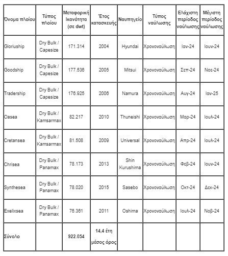
Ο στόλος της Εταιρείας

Ο Σταμάτης Τσαντάνης, Πρόεδρος και Διευθύνων Σύμβουλος της Εταιρείας, δήλωσε:
«Είμαστε στην ευχάριστη θέση να ανακοινώσουμε ότι για το τρίτο τρίμηνο του 2023, η United κατέγραψε πολύ ισχυρά οικονομικά αποτελέσματα. Κατά τη διάρκεια αυτής της περιόδου, η United παρέδωσε το τελευταίο LR2 πλοίο στους νέους του ιδιοκτήτες, και ολοκλήρωσε επίσης τις παράλαβες όλων των φορτηγών πλοίων, που είχαν ανακοινωθεί προηγουμένως. Η Εταιρεία είχε κέρδος ύψους 11,8 εκατ. δολαρίων από την πώληση του εναπομείναντος δεξαμενόπλοιου, σημειώνοντας υψηλή κερδοφορία για αυτό το τρίμηνο.
Με τις παραλαβές των τελευταίων δύο Panamax πλοίων, ο στόλος της United αποτελείται πλέον από οκτώ πλοία, συμπεριλαμβανομένων τριών Capesize, δύο Kamsarmax και τριών Panamax. Η συνολική επένδυση ύψους 144 εκατ. δολαρίων για αγορές πλοίων εντός του 2023 χρηματοδοτήθηκε μέσω των εσόδων από τις πωλήσεις των δεξαμενόπλοιων και δανεισμού, αποφεύγοντας έτσι αραίωση των μετόχων μέσω αυξήσεων κεφαλαίου. Η United δεν έχει πραγματοποιήσει καμία αραίωση μετόχων μέσω δημόσιας προσφοράς μετοχών πέρα από την αρχική δημόσια προσφορά της έναρξης της διαπραγμάτευσης των μετοχών στο χρηματιστήριο.
Από την αρχή του τρίτου τριμήνου του 2023, επαναγοράσαμε περίπου 182.961 μετοχές σε μέση τιμή περίπου 2,4 δολάρια ανά μετοχή. Δεδομένου του όγκου συναλλαγών, ο αριθμός αυτός ήταν πολύ κοντά στο μέγιστο επιτρεπόμενο όριο επαναγορών από την Εταιρεία. Το συνολικό κόστος των επαναγορών ανήλθε περίπου σε 0,4 εκατ. δολάρια.
Παραμένοντας συνεπείς στις δεσμεύσεις προς τους μετόχους μας, προχωράμε στη διανομή ενός ακόμη τριμηνιαίου μερίσματος ύψους 0,075 δολαρίων ανά μετοχή που επί του παρόντος αντιστοιχεί σε ετήσια μερισματική απόδοση 14%.
Για το τέταρτο τρίμηνο του 2023, έχουμε κλειδώσει το 75% των ημερών σε σταθερό ημερήσιο ναύλο σε επίπεδα κοντά στα 14.700 δολάρια την ημέρα, ενώ παράλληλα, διατηρούμε κυμαινόμενο ναύλο για δύο Capesize πλοία μας. Σε αυτή τη βάση, εκτιμούμε ότι το ημερήσιο TCE θα κυμανθεί κατά μέσο όρο περίπου στα 14.500 δολάρια.
Όσον αφορά τις εξελίξεις στην αγορά ξηρού φορτίου, η αγορά των Capesize έχει εμφανίσει σημαντική βελτίωση από το τέλος του Σεπτεμβρίου του 2023, ενώ η αγορά των Panamax παραμένει σταθερή σε σχετικά ικανοποιητικά επίπεδα. Από τις αρχές του 2023, καταγράφεται βελτίωση της αποδοτικότητας των φορτηγών πλοίων, καθώς η συμφόρηση στους λιμένες μειώθηκε σε ιστορικά χαμηλά επίπεδα, οδηγώντας σε αύξηση της προσφοράς διαθέσιμων πλοίων. Καθώς η συμφόρηση στους λιμένες επανήλθε σε φυσιολογικά επίπεδα στις αρχές του τετάρτου τριμήνου, η προσφορά πλοίων μειώθηκε και αυτό, σε συνδυασμό με την αυξημένη μεταφορική ζήτηση πρώτων υλών, ευνόησε την ναυλαγορά.
Κοιτώντας προς το μέλλον, οι παραγγελίες νεότευκτων πλοίων παραμένουν σε ιστορικά χαμηλά επίπεδα, και σε συνδυασμό με τους επερχόμενους περιβαλλοντικούς κανονισμούς, η πραγματική προσφορά πλοίων θα περιοριστεί περαιτέρω. Σε αυτό το πλαίσιο, πιστεύουμε ότι ακόμη και η περιορισμένη αύξηση της ζήτησης θα είναι αρκετή για να διατηρήσει την ναυλαγορά σε υγιή επίπεδα.»
Διαβάστε ακόμη
Renault: Λανσάρει φθηνό αμιγώς ηλεκτρικό αυτοκίνητο
Φορολογική ενημερότητα: Τι αλλάζει στην ψηφιακή εφαρμογή
Για όλες τις υπόλοιπες ειδήσεις της επικαιρότητας μπορείτε να επισκεφτείτε το Πρώτο ΘΕΜΑ
ΠΗΓΗ NEWMONEY







